MEDIUM
Earn 100
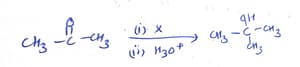
Identify the suitable reagent for the reaction given below:


(a)
(b)
(c)
(d)
50% studentsanswered this correctly
Important Questions on Aldehydes, Ketones and Carboxylic Acids
HARD
The major product obtained in the following reaction is:

MEDIUM
The major product formed in the following reaction is:

HARD
The major product of the following reaction is:

HARD
In the following reaction sequence, the amount of (in g) formed from moles of acetophenone is ____.
(Atomic weights in The yield (%) corresponding to the product in each step is given in the parenthesis)

MEDIUM
The major product 'X' formed in the following reaction is:

MEDIUM
The increasing order of the reactivity of the following with is:




HARD
The test performed on compound and their inferences are:
| Test | Inference |
| - test | Coloured precipitate yellow |
| Iodoform test | Yellow precipitate |
| Azo-dye test | No dye formation |
Compound is:
HARD
Treatment of cyclopentanone
with methyl lithium gives which of the following species?EASY
In the following reaction
MEDIUM
In the following reactions, products and are:

EASY
Reaction of a carbonyl compound with one of the following reagents involves nucleophilic addition followed by elimination of water. The reagent is:
EASY
The product formed by the reaction of an aldehyde with a primary amine is:
HARD
In the reaction sequence
; the product B is:
MEDIUM
The major product of the following reaction is:
MEDIUM
In the following reactions

X and Y are
MEDIUM
The major product B formed in the following reaction sequence is:

EASY
An organic compound 'X' having molecular formula yields phenyl hydrazone and gives negative response to the iodoform test and Tollen's test. It produces n-pentane on reduction. 'X' could be:
MEDIUM
The major product of the following reaction is:

MEDIUM
Which of the following reagents would distinguish cis-cyclopenta-1, 2-diol from the trans-isomer?
HARD
The major product of the following reaction sequence is


